Files
High-Performance-Computing-…/assets/alignment_benchmark_results.png
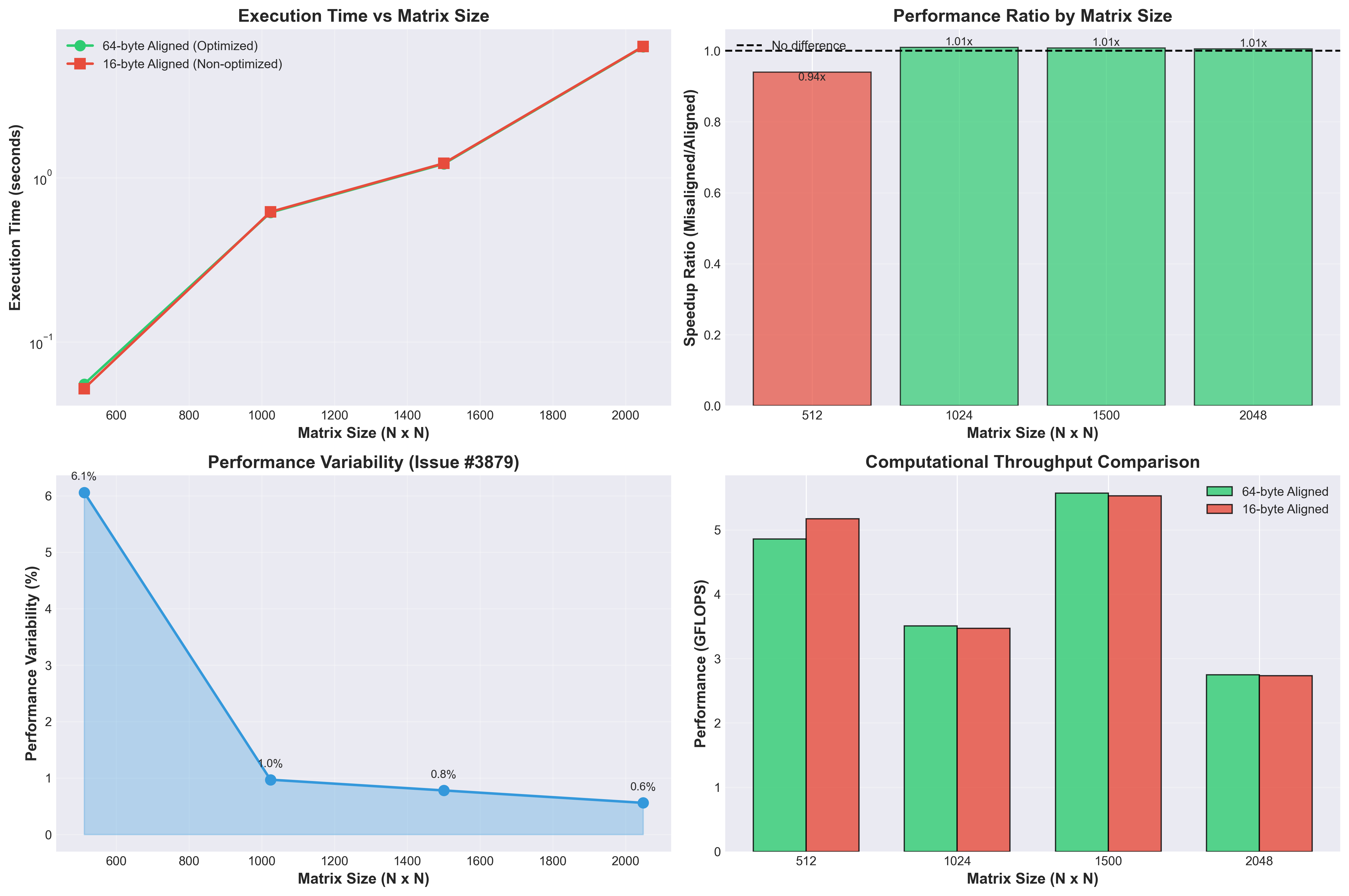
Carlos Gutierrez ae258223ca Initial commit: Matrix alignment prototype for HPC performance demonstration
- Add C implementation demonstrating memory alignment effects (matrix_alignment_prototype.c)
- Include cache-blocked matrix multiplication with AVX SIMD optimizations
- Add automated benchmarking framework (run_all_tests.sh, run_benchmark_sizes.sh)
- Add Python visualization scripts (generate_plots.py)
- Include Makefile for building with AVX support
- Add benchmark results and generated plots
- Add README with build and usage instructions
- Configure .gitignore for C/Python project files
2025-12-06 21:47:42 -05:00

417 KiB
4468x2969px